What is the best heterocycle out there and how do we find it? This is a dumb question because it is not clear what the purpose of the query is. Let’s say we are talking about drug discovery. I really doubt that there are yet-to-be-discovered “silver bullets” that will beat everything else from the standpoint of ligand efficiency (I blogged about this concept in the past). It is actually quite amusing to talk to biologists, who expect that our heterocycle-containing inhibitors can be magically turned into something that is way better (by several log units – this is what they want) by some simple tweak that should be obvious to us based on our years of training… Something like this might become possible if we discover a handful of new elements on Mars, bring them down here, and plug them into pyridine. But not before… If we consider drug discovery a bit further, though, there are reasons to rank heterocycles in terms of their metabolic liability. In fact, there are efforts aimed at comparing heterocycles from the standpoint of binding to human serum albumin, CYP450 inhibition, etc. One recent study carried out at GlaxoSmithKline suggests that pyridazine is one of the most “developability”-friendly heterocycles as it presents the fewest downstream issues. This is quite interesting and you can read the details of analysis here:
http://pubs.rsc.org/en/Content/ArticleLanding/2012/MD/c2md20111a#!divAbstract
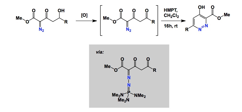
As luck would have it, I got some interesting “pyridazine” insights today. Earlier I had a phone conversation with Dr. Herdewijn of Galapagos in Belgium. I am not at liberty to disclose the subject of our conversation at this point, but I went online to read about some chemistry developed at Galapagos and was excited to come across a really cool pyridazine construction that came out of their labs. The sequence that you see below is a fantastic way to these scaffolds; it employs a rarely used process – the diaza-Wittig reaction (not to be confused with the aza-Wittig reaction, which is a very well established way to make imines).


