Some gems from Colorado

I am in Copper Mountain, Colorado, attending the annual meeting of the American Society of Pharmacognosy. Scott Lokey has put together a nice symposium on macrocycles, but a lot here is a bit beyond my expertise. The vast majority of researchers at this meeting are natural products isolation people, a crowd with its own jargon, rules, and ideas about what is cool and what is not.

There was a great talk by Jon Baell yesterday, in which he described molecules now referred to as PAINS, or pan-assay interfering compounds (http://pubs.acs.org/doi/pdf/10.1021/jm901137j). Essentially, anything that is an electrophile or a masked electrophile, is sure to cause trouble in assays. Looking out for structures that contain PAINS is not that tough if you are a trained chemist.

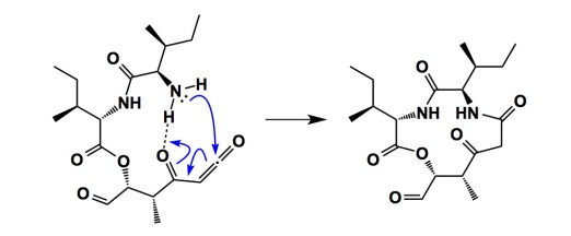
There were some real gems in the total synthesis section. I particularly liked the talk by Bill Maio of New Mexico State University. As someone who has been interested in new ways of making macrocycles, I really enjoyed his unconventional approach to making the amide bond of taumycin A. The allene intermediate shown below is generated by the base-induced decomposition of the corresponding beta-ketoester. I found this way of closing the ring to be very creative.

2

http://pubs.acs.org/doi/abs/10.1021/ol5025585

Uncompromising musings on total synthesis (by my former PhD student)

I was reading a maoecrystal V total synthesis paper by Regan J. Thomson and colleagues and kept telling myself: “Who would be crazy enough to do this sort of thing these days?”. And then cold sweat started pouring off my forehead… One of the co-authors on the paper was my former PhD student, Igor Dubovyk, who has been working in Regan’s lab over the last couple of years… Prior to going to Chicago, Igor was involved in some really neat palladium chemistry in my lab such that we still fondly remember his important contributions to our program. I reached over to Igor and asked him if he would be interested to sum up some elements of his approach to maoecrystal V. Here is what Igor had to say:

Ever since I purchased the 1st volume of the “Classics in Total Synthesis” by K. C. Nicolaou from the U of T used bookstore for Andrei’s graduate class, I have developed an obsessive fascination with natural products. The idea of building something so complex from simple materials available from Aldrich was so mind-boggling; it was almost too good to be true. Of course, being a young rebellious mind that I was at the time, I had no appreciation for such important factors as funding or the tremendous risks involved in pursuing such long-term highly ambitious projects. These are very important factors in research, as any professor would tell you, which is why being a grad student or a postdoc is the carefree period of our careers. It is during these very periods when we find ourselves “vulnerable” to the “unfundable” ideas incepted in us by the top researches in the field, and therefore, are less likely to resist dreaming about bringing them to life. After defending my dissertation in the area of palladium-catalyzed allylic amination I had an opportunity to work in industry, which gave me more time to read books on strategies used to devise efficient routes for the syntheses of natural products. Reading this sort of literature had not satisfied my curiosity but, on the contrary, has left me with even more unanswered questions. It has become clear to me that I would never find piece unless I get directly involved in a total synthesis project. The opportunity has presented itself when professor Regan J. Thomson from the Northwestern University has agreed to offer me a postdoctoral position in the field of total synthesis of caged terpenes. 111 I was put on the Maoecrystal V, an ongoing project in the group for several years. As I have learned, the molecule was subject of active pursuit not only due to its complex architecture, but also for its high toxicity towards human ovarian tumour HeLa cell line (IC50 = 20 nM). By the time I joined, 3 groups have already accomplished a total synthesis of the racemate and numerous others have reported their ongoing efforts. My colleague Dr. Changwu Zheng has completed about 70% of the new synthetic route towards the racemate, which I was supposed to render enantioselective before helping him finish the synthesis. The route relied on several key steps, one of which was a highly diastereoselective Heck cyclization that furnished one of the quaternary centers and a new ring, while placing the alkene in the desired position (see the Scheme shown below). The precursor to the Heck reaction was allylic alcohol 1, which, in the synthesis of the racemate came from the corresponding enone 2. Switching LAH for the CBS reagent seemed like a no-brainer until the chiral HPLC confirmed the reproducible enantioselectivity of 30%. The result was not any better for the Midland reduction. We have reasoned that the chiral catalyst could not differentiate between the two bulky substituents on either side of the ketone. 222 It became clear that at this point we had a choice to either spend another who-knows-how-long trying to optimize the system by screening solvents, additives etc. to improve the ee slightly or to take a more indirect approach by making something simple with high enantioselectivity and then find a way to convert that product to the compound of interest. In the course of our investigations we discovered that the required stereocenter could be correctly installed through the highly enantioselective Sharpless epoxidation of the starting allylic alcohol (see the Scheme shown below). 333 After several months of experimentation, a scalable route to the desired Heck precursor was finally found. Coupling the Sharpless product 3 with trichloroacetimidate 4, followed by the reduction of the ketone with sodium borohydride gave a mixture of diastereomeric epoxy alcohols (Scheme 3). Transforming the alcohols into the corresponding iodides, and subjecting them to reductive conditions using zinc led to a stereoconvergent epoxide ring opening to give 25 g of alcohol 1 in 94% ee. The rest of the core of (–)-Maoecrystal V was assembled through an oxidative dearomatization made possible due to the proximity of the secondary alcohol to the phenol moiety, as well as an intermolecular Diels-Alder cycloaddition. The end game of the synthesis consisted of selective C–H oxidation reactions:

http://pubs.acs.org/doi/abs/10.1021/ja5109694

This aggressive approach not only resulted in the synthesis of (–)-Maoecrystal V, but also allowed us to gain access to the unnatural enantiomer of the molecule. Both enantiomers as well as the advanced synthetic intermediates leading to their formation were sent for biological studies against different tumour cell lines. Although the details of the complete synthetic study of (–)-Maoecrystal V will be released sometime in the future, I would like to admit that this project was an emotional rollercoaster, especially for my colleagues Changwu and Kiel. We owe a debt of gratitude to Kiel for his PhD-long synthetic investigations that have ultimately resulted in the undertaking of this particular route. In our group pressures to develop short practical total syntheses continue to uncover new reactivity and serve as an inspiration for the development of new methodologies.

Some unexpected lessons

It is not that often that I pick up an interesting purification trick from a chemical biology paper. Yet, this is exactly what happened to me while I was reading the ACS Chemical Biology manuscript by Bernat et al. This intriguing recent work documents the use of boronic acid probes of allosteric modulation of the chemokine CXCR3 receptor. Biological merits of the manuscript aside, I was drawn to the way the authors purified their boronic acid inhibitors. Their solution to the problem involves dry column flash chromatography, the description of which even made its way into the paper’s abstract. Given the focus of the journal, this probably means that the authors were really satisfied with the results. The technique consists of placing a dry bed of silica gel in a sintered glass funnel followed by fraction elution using suction. I have not attempted this methodology myself in the good old days when I was still doing somewhat meaningful research at the bench. I did a bit of digging and discovered a nice paper in the Journal of Chemical Education detailing this method. I actually think my students use this all the time, but I do not recall anything extraordinary about this tool. Now it turns out that it might be just what we need for some of our annoyingly polar boron-containing molecules. By the way, whenever there is something I want to learn in detail, I turn to the Journal of Chemical Education. Therein lies a treasure trove of information because the idea is to publish methods and procedures that are adaptable in undergraduate settings.

 http://pubs.acs.org/doi/abs/10.1021/cb500678c

http://pubs.acs.org/doi/abs/10.1021/ed074p1222

One more item of substance that relates to aliphatic boronic acids: during lyophilization, don’t go too crazy in your attempts to rigorously remove water from the purified compound. This is a bad idea as the Le-Chatelier principle will shift things in the direction of boraxine, which is notoriously sensitive to oxidative cleavage of the C-B bond. We like to keep our products somewhat wet. I picked up this tip from Professor Singaram while lecturing at University of California, Santa Cruz, last year.

2

Peeling onions, layer by layer

Although Serge Zaretsky defended his PhD thesis and left my lab almost 10 months ago, we still continue our fruitful cooperation. During his graduate stay, Serge was working in the area of macrocyclization reactions driven by amphoteric aziridine aldehydes. Mechanistically, this turned out to be a difficult problem. Right now, this process is straightforward and we make macrocycles rather efficiently, but the reaction itself is still an enigma. My other former PhD student, Ben Rotstein, once likened this macrocyclization to an onion. There are just so many layers and you don’t know where to stop. While we all know that at some point we must stop (hoping all of the findings are consistent with some logic), there is one extra experiment that throws it all down the drain. Convergence is not something we are inherently good at in science. And this is for the better.

In Serge’s case, we got to the bottom of some key selectivity controls. The imidoanhydride species you see below is the most important constituent of this process. We think that this intermediate accounts for the reactivity trends we observe. A paper describing this work just appeared in Chemical Science. I am providing a link as well as a photo of Serge (he’s wearing a light-green shirt) having Jägerbombs after his graduation. We sat down in our group room, raised our drinks, and sincerely thanked Serge for his contributions.

2

http://pubs.rsc.org/en/content/articlelanding/2015/sc/c5sc01958c#!divAbstract

Nurturing creativity

I just came from a short vacation to Bermuda. Speaking of vacations, what would we do without them? I find it exceptionally annoying when graduate students or postdocs refuse to take them, which might sound strange to some of you, especially if you think that professors are all about driving people mad in the lab. If you subscribe to this view, I point you to the following paper (this work should be read by everyone):

http://www.ecologyandsociety.org/vol20/iss2/art3/

The authors make a point about two distinct processes that lead to creative thinking. There is this fast system-I, which produces intuition. There is also the more deliberate system-II, which is more analytical and leads to what we call “reasoning”. The point of this paper by Scheffer and colleagues is that the two systems are stimulated under different conditions.

System-I works unconsciously and is based on instantaneous associations, whereas system-II keeps it all in check and modifies the results coming from system-I. Here is the problem: traditional work expectations overemphasize system-II, which makes some sense if you think that decision making is all about rationality. This is wrong.

Unstructured associative thinking is critical to creativity because our web of associations is extremely complex. The authors provide a great example: “banana” is linked to “fruit”, to “yellow”, to taste, and so on. Once you have triggered one idea, others are activated and cause ripples through your mind web. It turns out that the same person would be better or worse at generating remote associations based on his/her mood and state of mind. A cheerful state tends to result in novel associations. Because intuitions arising from system-I are often wrong, there certainly needs to be a substantial contribution from system-II. But not too much… Apparently, Feynman deliberately tried to stay away from knowing previous explanations for various phenomena he had been interested in.

In closing, there is scientific evidence that suggests that creativity is directly related to our ability to trigger associations between unrelated items (and we may not even anticipate in advance which ones they happen to be). For that one needs to be relaxed. Going for a nice walk in the woods could be way better than staying in office (or lab).

Heterocyclic metamorphosis

I am always on the lookout for ways to convert one class of heterocycle into another. I think this is easier than building rings de novo. One can reasonably expect scaffold hopping approaches in fragment-based discovery to be greatly simplified with such metamorphosis-like pathways. Today I want to discuss one particular type of molecule that is as suited for this general idea, or is better than, any other heterocycle. I refer to indole, whose versatility is astounding. One recent sequence that attracted my attention is the one reported by Guan and colleagues. Here we have a Baeyer-Villiger-like oxidation of indole to give benzoxazinone nucleus.

2

http://pubs.rsc.org/en/Content/ArticleLanding/2013/CC/c3cc44215b

This reaction was accomplished using oxone, which ruptured the indole moiety. There was another recent report, by Cui and co-workers, who accomplished a fairly similar ring-expansive goal, except they used indoles and amines under copper catalysis and ended up with arylquinazolinones (http://pubs.acs.org/doi/pdf/10.1021/acs.joc.5b00957 ).

Destroying Alzheimer’s plaques with alkaloids

There is a recent report that documents dose-dependent disruption of amyloid fibryls by tabersonine, a terpene indole alkaloid. The paper might be interesting for a couple of reasons. It is rare to see molecular-level evidence for an interaction between alkaloids and peptides. It is also interesting to trace back the origins of the material used by the authors. Here are the initial stages of how Zhou and co-workers got their stuff: “Voacanga africana beans (100 g) were ground and crushed into powders, which were added into 300 mL of 95% ethanol and soaked at 65 °C for 1 h…

Below I am showing a scheme that involves the monomer of A-beta peptide interacting with tabersonine. The evidence in the paper points towards the preferred interaction between tabersonine and the aggregated form of peptide, but it is easier to draw the monomer.
blog July 6

http://pubs.acs.org/doi/pdf/10.1021/acschemneuro.5b00015

While there is no real chemistry in this paper (and why should there be if you can get your Voacanga africana beans?), I did recall one of my favorite syntheses of tabersonine. It was published by my good old friend S. Kozmin (now at the University of Chicago) when he was a graduate student in Viresh Rawal’s lab. The paper features a Diels-Alder approach to the central ring and makes use of the amine variant of the Danishefsky’s diene, developed by Rawal and Kozmin at the end of 1990’s.

22

Coming back to the disruption of amyloids, I am not sure tabersonine will see any sort of medicinal use, although it is encouraging to keep in mind that alkaloids are often very blood/brain barrier-permeable. Maybe nature is indeed trying to tell us something here?

http://pubs.acs.org/doi/pdf/10.1021/ja983198k

Planting acetone within peptides

It is great to witness your students succeed, especially when you meet them at conferences some years after graduation and learn about their notable accomplishments. As Ved Srivastava and I were running the American Peptide Symposium in Florida last week, I ran across Naila Assem and heard about her recent work. Naila recently accepted a job at Novozymes in San Francisco (http://www.novozymes.com/en/Pages/default.aspx), which is excellent. I asked her to do a guest post on her recent work with Phil Dawson at Scripps. Here it is, verbatim:

After working on peptidomimetic ligation in the Yudin lab (http://www.nature.com/nprot/journal/v7/n7/abs/nprot.2012.066.html), pursuing my post-doctorate with a pioneer in the peptide ligation field, such as Dr. Philip Dawson, seemed like the logical next step for me. Upon completing my Ph.D., I packed my bags and joined the Dawson lab at the Scripps Research Institute. One of the things I have greatly enjoyed about working in the Dawson lab is how multidisciplinary the projects have been. While working on synthesizing small peptide mimics of a highly conserved epitope on the Hepatitis C virus, I came across dichloroacetone (DCA), a cross-linking reagent. On today’s post I would like to highlight the utility of DCA, which is the subject of a recently published paper in Angewandte Chemie (http://onlinelibrary.wiley.com/doi/10.1002/anie.201502607/abstract).

Since short peptides do not typically form stable secondary structures, the Dawson lab utilizes synthetic techniques to display small peptides in a biologically relevant manner. In our work with Hepatitis C we found that DCA was effective at cyclizing two cysteine side chains. From this observation we wondered if we could use DCA to stabilize helical secondary structure. What further attracted us to DCA was the ketone within the akyl chain that could potentially be used as a site for functionalization. We first tested to see if dichloroacetone could be used to cross-link two cysteine side chains, in the i and i+4 positions, to induce helical formation. Although the cross-linking reaction between two cysteine side chains proved to be selective and high yielding we found that it did not give enough slack for proper helix formation. On the other hand, cross-linking between two homo-cysteines gave proper helix-stabilization.

Once we were able to establish helicity we explored the ketone’s ability to undergo oxime ligation. We first tested typical aniline catalyzed oxime ligation conditions and found full conversion to the desired product after 16 hours. We were able to demonstrate the ability to tag the cross-linker with a diverse set of labels including fluorophores such a Alexafluor 647 and Alexafluor 488. We were also able to biotynilate or add peptide tags such as a poly-arginine or FLAG-tag. Additionally, we could dimerize the helical peptide with a bis-aminooxy linker or simply add an aminooxy functionality that can be used to conjugate on to the surface of carrier proteins or virus like particles.

The utility of DCA in a protein/peptide interaction setting was demonstrated when we synthesized an S-peptide analog and bound it to RNAse S. The DCA cross-linked peptide analog (Ac-KETAAhCKFEhCQHMDS-NH2) was successfully co-crystallized at 2.2 Å. The cross-linked peptide structure was found to be highly conserved when compared to the natural S-peptide in complex to RNAse S. Additionally, we were able to show that DCA can be used the make peptide cycles and bicycles.

33

On the heels of condensation

My lab has been interested in new ways to access uncommon substitution motifs in aromatic heterocycles. Here is our rationale: while there are countless examples of imaginative approaches to borylate an existing ring using directed ortho-metallation or C-H activation, the corresponding reactions are governed by the innate reactivity of a given heterocycle. The selectivity also depends on the reagent that effects the site-selective transformation.

We have been thinking about ways to assemble structures using different rules. As part of this undertaking, we placed our bets on amphoteric molecules and explored ways of controlling the selectivity of boron group transfer using simple condensation reactions.

In grey rectangles below you see some of the amphoteric species described by our lab in the past. In green you see a new and surprisingly stable class of compounds described by my postdoctoral fellow Piera Trinchera and graduate student Victoria Corless in a recent Angewandte paper. The dicarbonyl scaffold, prepared using photocatalysis and organocatalysis (special thanks to MacMillan, Stephenson, and Yoon for trailblazing this area) can be transformed into several types of heterocycles with unusual regiochemistry of the C-B bond. I think medicinal chemists might be interested in this technique as there are many molecules one can imagine making using dicarbonyls. I applaud Piera and Victoria’s efforts. I was also glad to see Chemical and Engineering News comment on their research. The next issue of Angewandte will have the cover designed by Piera and Victoria, which is a nice touch (although I am left with a bill for 2100 Euros for their beautiful artwork…).

1

http://onlinelibrary.wiley.com/doi/10.1002/anie.201504271/abstract

http://cen.acs.org/articles/93/web/2015/06/New-Route-Rare-Heterocycles.html

I would end by pondering over a curious finding that most isomers accessible through our condensative approach are not easily accessible by alternative metal-based techniques. You might ask “Is there a reason for that?”. I would say – there ain’t one, although it is tempting to speculate on the innate selectivity of condensation reactions.